一般而言,客戶在選擇膨脹罐的型號時候需要參考一定的依據,作為膨脹罐而言,有著其選型的相關公式,那么其公式是什么意思,如何利用公式為企業選擇合適的膨脹罐,尤孚泵業的小編整理編輯了相關文章。
熱力系統中(鍋爐、空調、熱泵、熱水器等)膨脹罐的選型公式如下:
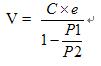
在此公式中
C = 系統中水總容量(包括鍋爐、管道、散熱器等)
e = 水的熱膨脹系數(系統冷卻時水溫和鍋爐運行時的水溫的水膨脹率之差,見下表),標準設備中e=0.0359(90℃)

P1=膨脹罐的預充壓力(絕對壓力) P2=系統運行的壓力(絕對壓力)推薦閱讀:二次供水設備基本參數
V = 膨脹罐的體積
不同溫度下水的膨脹率
尤孚泵業一直是膨脹罐行業的供應商,多年的不懈奮斗打造了一批專業化的銷售團隊以及售后服務團隊,會根據您的需求,開發定制,讓您省心,放心。更多閱讀:膨脹罐如何選型
尤孚泵業是一家全球化的水泵產品和系統制造商。我們提供先進的產品、服務和解決方案,滿足您的多元需求。




